Wybierz szkołę

Wybierz dział

Zaproszenie do wspólnej nauki

zaprasza Cię do wspólnej nauki fiszek

Połączenie głosowe
Upewnij się, że masz włączone głośniki i mikrofon
Odrzuć

Temat: Stężenie procentowe

Stężenie procentowe

Fiszka: 3 z 4

Przód

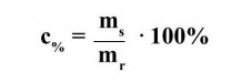
Z podanego wzoru możemy obliczyć:

Tył

stężenie procentowe

Rozpocznij naukę

Chcesz się od razu sprawdzić? Rozwiąż test.

Fiszka znajduje się w zestawie:

Opracowania.pl
Opracowania.pl

Stężenie procentowe

  • Podstawowa
  • Chemia
  • Roztwory
Fiszek: 4
70% Głosów: 10

Zobacz podobne fiszki

Had4s

chemia reakcje w roztworach

  • Podstawowa
  • Chemia
  • Roztwory
Fiszek: 8
b/d Głosów: 4