zaprasza Cię do wspólnej nauki fiszek
Teksty dostarczyło Wydawnictwo GREG. © Copyright by Wydawnictwo GREG
Autorzy opracowań: B. Wojnar, B. Włodarczyk, A Sabak, D. Stopka, A Szostak, D. Pietrzyk, A. Popławska, E. Seweryn, M. Zagnińska, J. Paciorek, E. Lis, M. D. Wyrwińska, A Jaszczuk, A Barszcz, A. Żmuda, K. Stypinska, A Radek, J. Fuerst, C. Hadam, I. Kubowia-Bień, M. Dubiel, J. Pabian, M. Lewcun, B. Matoga, A. Nawrot, S. Jaszczuk, A Krzyżek, J. Zastawny, K. Surówka, E. Nowak, P. Czerwiński, G. Matachowska, B. Więsek, Z. Daszczyńska, R. Całka
Zgodnie z regulaminem serwisu www.opracowania.pl, rozpowszechnianie niniejszego materiału w wersji oryginalnej albo w postaci opracowania, utrwalanie lub kopiowanie materiału w celu rozpowszechnienia w szczególności zamieszczanie na innym serwerze, przekazywanie drogą elektroniczną i wykorzystywanie materiału w inny sposób niż dla celów własnej edukacji bez zgody autora jest niedozwolone.
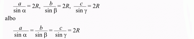
Twierdzenie sinusów brzmi: w dowolnym trójkącie stosunek długości boku do sinusa kąta leżącego naprzeciw tego boku jest równy średnicy koła opisanego na tym trójkącie.
Inaczej (spójrz na rysunek)
Twierdzenie to służy do tzw. rozwiązywania trójkątów, tzn. znajdowania boków i kątów danych trójkątów.
Mając dane długości a, b boków trójkąta ostrokątnego ABC oraz długość R promienia okręgu na nim opisanego, oblicz sinusy kątów oraz długość trzeciego boku trójkąta. Wykonaj obliczenia, gdy a = 6, b = 10, R = 8.
Rozwiązanie:
W trójkącie ABC bok AB = c = 12, bok BC = a = 10, bok CA = b = 6. Dwusieczna kąta ACB przecina bok AB w punkcie D. Oblicz długości odcinków AD i BD.
Rozwiązanie:
Dany jest trójkąt o bokach a, b, c. Promień okręgu opisanego na tym trójkącie równy jest R. Oblicz pole tego trójkąta.
Rozwiązanie:
W trójkącie ABC mamy dane: długości boków AB i AC, długość r promienia okręgu wpisanego oraz miarę kąta α. Oblicz: długość boku BC, miary kątów β i γ, pole trójkąta ABC i długość promienia okręgu opisanego na trójkącie.
Twierdzenie cosinusów
W dowolnym trójkącie między bokami i kątami zachodzą związki:
a2 = b2 + c2 - 2bc cos α
b2 = a2 + c2 - 2ac cos β
c2 = a2 + b2 - 2ab cos γ
(kwadrat długości dowolnego boku jest równy sumie kwadratów długości pozostałych boków pomniejszonej o podwojony iloczyn tych boków i cosinusa kąta zawartego między nimi).
Bardzo ważny wniosek z twierdzenia cosinusów
Twierdzenie cosinusów pozwala rozstrzygnąć, czy dany trójkąt jest ostrokątny, prostokątny czy rozwartokątny.
Sprawdź, czy trójkąt o wierzchołkach A(1, 5), B(3, 2), C(-6, -4) jest prostokątny.
Odpowiedź
Trójkąt jest prostokątny (ma kąt prosty przy wierzchołku B, czyli bok AC jest przeciwprostokątną w tym trójkącie).
Sprawdź, czy trójkąt o wierzchołkach P(-1, 2), Q(1, -2), R(2, -4) jest prostokątny.
Odpowiedź
Trójkąt PQR nie jest prostokątny
Boki AB i AC trójkąta ABC mają odpowiednie długości 4 i 6 i tworzą kąt BAC o mierze 120°. Oblicz długość boku BC tego trójkąta.
Oblicz kąty trójkąta ABC, w którym AB = 7, BC = 11, CA = 14. Rozstrzygnij, czy trójkąt jest ostrokątny, prostokątny czy rozwartokątny.
Rozwiązanie:
Trójkąt jest rozwartokątny i ma kąt rozwarty przy wierzchołku B.
Pamietaj!
Warto znać twierdzenie dotyczące zależności pomiędzy miarami kątów wewnętrznych w trójkącie i długościami jego boków.
Twierdzenie
W dowolnym trójkącie naprzeciw największego kąta leży najdłuższy bok i na odwrót, czyli naprzeciw najdłuższego boku znajduje się kąt o największej mierze.
Zatem na podstawie tego twierdzenia rozwiązanie zadania 8 można bardzo uprościć. Wystarczy bowiem obliczyć wartość cosinusa kąta B leżącego naprzeciw najdłuższego boku (u nas bok CA = 14). Jedynie ten kąt może być rozwarty, co pociąga za sobą fakt, że trójkąt może wówczas być rozwartokątny.
Pomijamy pozostałe przypadki, ponieważ stwierdzamy definitywnie, iż trójkąt jest rozwartokątny.
W trójkącie ABC, AB = 15, BC = 10, B = 30°. Znajdź długość środkowej poprowadzonej z wierzchołka A.
Pogłębiaj wiedzę w temacie: Rozwiązywanie trójkątów z zastosowaniem twierdzenia sinusów i cosinusów
Teksty dostarczyło Wydawnictwo GREG. © Copyright by Wydawnictwo GREG
Autorzy opracowań: B. Wojnar, B. Włodarczyk, A Sabak, D. Stopka, A Szostak, D. Pietrzyk, A. Popławska, E. Seweryn, M. Zagnińska, J. Paciorek, E. Lis, M. D. Wyrwińska, A Jaszczuk, A Barszcz, A. Żmuda, K. Stypinska, A Radek, J. Fuerst, C. Hadam, I. Kubowia-Bień, M. Dubiel, J. Pabian, M. Lewcun, B. Matoga, A. Nawrot, S. Jaszczuk, A Krzyżek, J. Zastawny, K. Surówka, E. Nowak, P. Czerwiński, G. Matachowska, B. Więsek, Z. Daszczyńska, R. Całka
Zgodnie z regulaminem serwisu www.opracowania.pl, rozpowszechnianie niniejszego materiału w wersji oryginalnej albo w postaci opracowania, utrwalanie lub kopiowanie materiału w celu rozpowszechnienia w szczególności zamieszczanie na innym serwerze, przekazywanie drogą elektroniczną i wykorzystywanie materiału w inny sposób niż dla celów własnej edukacji bez zgody autora jest niedozwolone.












