zaprasza Cię do wspólnej nauki fiszek
Teksty dostarczyło Wydawnictwo GREG. © Copyright by Wydawnictwo GREG
Autorzy opracowań: B. Wojnar, B. Włodarczyk, A Sabak, D. Stopka, A Szostak, D. Pietrzyk, A. Popławska, E. Seweryn, M. Zagnińska, J. Paciorek, E. Lis, M. D. Wyrwińska, A Jaszczuk, A Barszcz, A. Żmuda, K. Stypinska, A Radek, J. Fuerst, C. Hadam, I. Kubowia-Bień, M. Dubiel, J. Pabian, M. Lewcun, B. Matoga, A. Nawrot, S. Jaszczuk, A Krzyżek, J. Zastawny, K. Surówka, E. Nowak, P. Czerwiński, G. Matachowska, B. Więsek, Z. Daszczyńska, R. Całka
Zgodnie z regulaminem serwisu www.opracowania.pl, rozpowszechnianie niniejszego materiału w wersji oryginalnej albo w postaci opracowania, utrwalanie lub kopiowanie materiału w celu rozpowszechnienia w szczególności zamieszczanie na innym serwerze, przekazywanie drogą elektroniczną i wykorzystywanie materiału w inny sposób niż dla celów własnej edukacji bez zgody autora jest niedozwolone.
Ostrosłupem nazywamy wielościan, którego jedna ściana, zwana podstawą jest dowolnym wielokątem (trójkątem, czworokątem, pięciokątem itd.), a pozostałe ściany są trójkątami o wspólnym wierzchołku.
Przypomnienie:
trójkąt równoboczny:
Kąty w ostrosłupach
α - kąt nachylenia krawędzi bocznej ostrosłupa do płaszczyzny podstawy
β - kąt nachylenia ściany bocznej do płaszczyzny podstawy (jest to kąt dwuścienny)
γ - kąt między krawędzią boczną a wysokością ostrosłupa
δ - kąt między wysokością ostrosłupa a wysokością ściany bocznej
α - czytamy: alfa
β - czytamy: beta
γ - czytamy: gamma
δ - czytamy: delta
Wzory
Oblicz pole powierzchni całkowitej i objętość ostrosłupa prawidłowego czworokątnego o krawędzi podstawy długości a = 6 cm, wysokości ostrosłupa H = 4 cm i wysokości ściany bocznej h = 5 cm.
Odp.: Objętość ostrosłupa wynosi 48 cm3, a pole powierzchni 96 cm2.
Oblicz pole powierzchni całkowitej i objętość ostrosłupa prawidłowego czworokątnego o krawędzi podstawy a = 4 cm i wysokości H = 6 cm.
Oblicz pole powierzchni bocznej i objętość ostrosłupa prawidłowego czworokątnego, wiedząc, że pole podstawy jest równe 64 cm2, a kąt nachylenia ściany bocznej do płaszczyzny podstawy α = 30°.
Rozwiązanie:
Podstawą ostrosłupa jest romb. Wysokość rombu h = 9 cm, a kąt ostry rombu α = 60°. Oblicz objętość ostrosłupa, jeżeli jego wysokość jest dwa razy dłuższa od boku rombu.
Podstawą ostrosłupa jest romb:
Odp.: Objętość ostrosłupa wynosi 648 cm3.
Objętość ostrosłupa prawidłowego czworokątnego jest równa 72 cm3. Oblicz pole powierzchni całkowitej tego ostrosłupa, jeżeli wiesz, że krawędź podstawy i wysokość w tym ostrosłupie są tej samej długości.
Rozwiązanie:
W ostrosłupie prawidłowym trójkątnym krawędź podstawy ma długość 6 cm, a kąt nachylenia krawędzi bocznej do płaszczyzny podstawy ma miarę 60°. Oblicz objętość tego ostrosłupa.
Rozwiązanie:
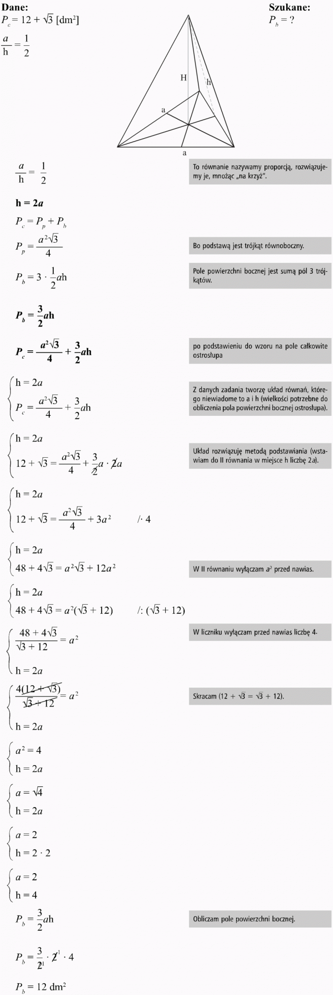
Dany jest ostrosłup prawidłowy trójkątny, w którym ściana boczna tworzy z płaszczyzną podstawy kąt 60°. Oblicz objętość i pole powierzchni całkowitej ostrosłupa, wiedząc, że krawędź podstawy ma długość 12 cm.
Rozwiązanie:
Odp.: Pole powierzchni bocznej wynosi 12 dm2.
Pogłębiaj wiedzę w temacie: Ostrosłupy
Teksty dostarczyło Wydawnictwo GREG. © Copyright by Wydawnictwo GREG
Autorzy opracowań: B. Wojnar, B. Włodarczyk, A Sabak, D. Stopka, A Szostak, D. Pietrzyk, A. Popławska, E. Seweryn, M. Zagnińska, J. Paciorek, E. Lis, M. D. Wyrwińska, A Jaszczuk, A Barszcz, A. Żmuda, K. Stypinska, A Radek, J. Fuerst, C. Hadam, I. Kubowia-Bień, M. Dubiel, J. Pabian, M. Lewcun, B. Matoga, A. Nawrot, S. Jaszczuk, A Krzyżek, J. Zastawny, K. Surówka, E. Nowak, P. Czerwiński, G. Matachowska, B. Więsek, Z. Daszczyńska, R. Całka
Zgodnie z regulaminem serwisu www.opracowania.pl, rozpowszechnianie niniejszego materiału w wersji oryginalnej albo w postaci opracowania, utrwalanie lub kopiowanie materiału w celu rozpowszechnienia w szczególności zamieszczanie na innym serwerze, przekazywanie drogą elektroniczną i wykorzystywanie materiału w inny sposób niż dla celów własnej edukacji bez zgody autora jest niedozwolone.


















