zaprasza Cię do wspólnej nauki fiszek
Teksty dostarczyło Wydawnictwo GREG. © Copyright by Wydawnictwo GREG
Autorzy opracowań: B. Wojnar, B. Włodarczyk, A Sabak, D. Stopka, A Szostak, D. Pietrzyk, A. Popławska, E. Seweryn, M. Zagnińska, J. Paciorek, E. Lis, M. D. Wyrwińska, A Jaszczuk, A Barszcz, A. Żmuda, K. Stypinska, A Radek, J. Fuerst, C. Hadam, I. Kubowia-Bień, M. Dubiel, J. Pabian, M. Lewcun, B. Matoga, A. Nawrot, S. Jaszczuk, A Krzyżek, J. Zastawny, K. Surówka, E. Nowak, P. Czerwiński, G. Matachowska, B. Więsek, Z. Daszczyńska, R. Całka
Zgodnie z regulaminem serwisu www.opracowania.pl, rozpowszechnianie niniejszego materiału w wersji oryginalnej albo w postaci opracowania, utrwalanie lub kopiowanie materiału w celu rozpowszechnienia w szczególności zamieszczanie na innym serwerze, przekazywanie drogą elektroniczną i wykorzystywanie materiału w inny sposób niż dla celów własnej edukacji bez zgody autora jest niedozwolone.
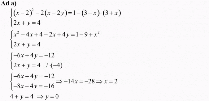
Rozwiąż układy równań i nierówności:
Rozwiązanie:
Odpowiedź:
x = 2, y = 0
Ad b)
Układy tego typu rozwiązujemy graficznie.
Teraz obydwie nierówności należy zilustrować w układzie współrzędnych. Pamiętaj, że obydwie nierówności opisują półpłaszczyzny:
Teraz w układzie współrzędnych zaznaczamy miejsca zerowe obu funkcji oraz miejsca przecięcia się z osią OY i rysujemy wykresy funkcji.
Następnie trzeba wybrać właściwą półpłaszczyznę.
y > -x + 3, wybieramy prawą część płaszczyzny (można to sprawdzić, wybierając jakiś punkt należący do prawej strony prostej i sprawdzamy, czy zachodzi nierówność)
y < 2x - 3, wybieramy prawą stronę prostej (prawą część płaszczyzny).
Odpowiedź
Rozwiązaniem jest część wspólna zaznaczonych półpłaszczyzn.
Rozwiązanie:
Rozwiązanie:
Opisz przy pomocy nierówności liniowych zbiór punktów:
Rozwiązanie:
Pogłębiaj wiedzę w temacie: Układy równań i nierówności liniowych
Teksty dostarczyło Wydawnictwo GREG. © Copyright by Wydawnictwo GREG
Autorzy opracowań: B. Wojnar, B. Włodarczyk, A Sabak, D. Stopka, A Szostak, D. Pietrzyk, A. Popławska, E. Seweryn, M. Zagnińska, J. Paciorek, E. Lis, M. D. Wyrwińska, A Jaszczuk, A Barszcz, A. Żmuda, K. Stypinska, A Radek, J. Fuerst, C. Hadam, I. Kubowia-Bień, M. Dubiel, J. Pabian, M. Lewcun, B. Matoga, A. Nawrot, S. Jaszczuk, A Krzyżek, J. Zastawny, K. Surówka, E. Nowak, P. Czerwiński, G. Matachowska, B. Więsek, Z. Daszczyńska, R. Całka
Zgodnie z regulaminem serwisu www.opracowania.pl, rozpowszechnianie niniejszego materiału w wersji oryginalnej albo w postaci opracowania, utrwalanie lub kopiowanie materiału w celu rozpowszechnienia w szczególności zamieszczanie na innym serwerze, przekazywanie drogą elektroniczną i wykorzystywanie materiału w inny sposób niż dla celów własnej edukacji bez zgody autora jest niedozwolone.









