zaprasza Cię do wspólnej nauki fiszek
Teksty dostarczyło Wydawnictwo GREG. © Copyright by Wydawnictwo GREG
Autorzy opracowań: B. Wojnar, B. Włodarczyk, A Sabak, D. Stopka, A Szostak, D. Pietrzyk, A. Popławska, E. Seweryn, M. Zagnińska, J. Paciorek, E. Lis, M. D. Wyrwińska, A Jaszczuk, A Barszcz, A. Żmuda, K. Stypinska, A Radek, J. Fuerst, C. Hadam, I. Kubowia-Bień, M. Dubiel, J. Pabian, M. Lewcun, B. Matoga, A. Nawrot, S. Jaszczuk, A Krzyżek, J. Zastawny, K. Surówka, E. Nowak, P. Czerwiński, G. Matachowska, B. Więsek, Z. Daszczyńska, R. Całka
Zgodnie z regulaminem serwisu www.opracowania.pl, rozpowszechnianie niniejszego materiału w wersji oryginalnej albo w postaci opracowania, utrwalanie lub kopiowanie materiału w celu rozpowszechnienia w szczególności zamieszczanie na innym serwerze, przekazywanie drogą elektroniczną i wykorzystywanie materiału w inny sposób niż dla celów własnej edukacji bez zgody autora jest niedozwolone.
Stadion sportowy ma miejsca dla kibiców ułożone w rzędach. W pierwszym rzędzie jest 40 miejsc, w drugim 42, w trzecim 44 itd. aż do dziesiątego rzędu. Dalej jest jeszcze 10 rzędów po 100 miejsc w każdym. Ile jest miejsc dla kibiców na tym stadionie?
Odpowiedź
Na stadionie jest 1490 miejsc.
Wyznacz ciąg arytmetyczny, w którym suma siódmego i jedenastego wyrazu wynosi 10, a suma piątego i dziesiątego wyrazu jest równa 1.
W ciągu geometrycznym trzeci wyraz jest równy 0,5, a suma dwóch pierwszych wyrazów wynosi 6. Oblicz iloraz tego ciągu.
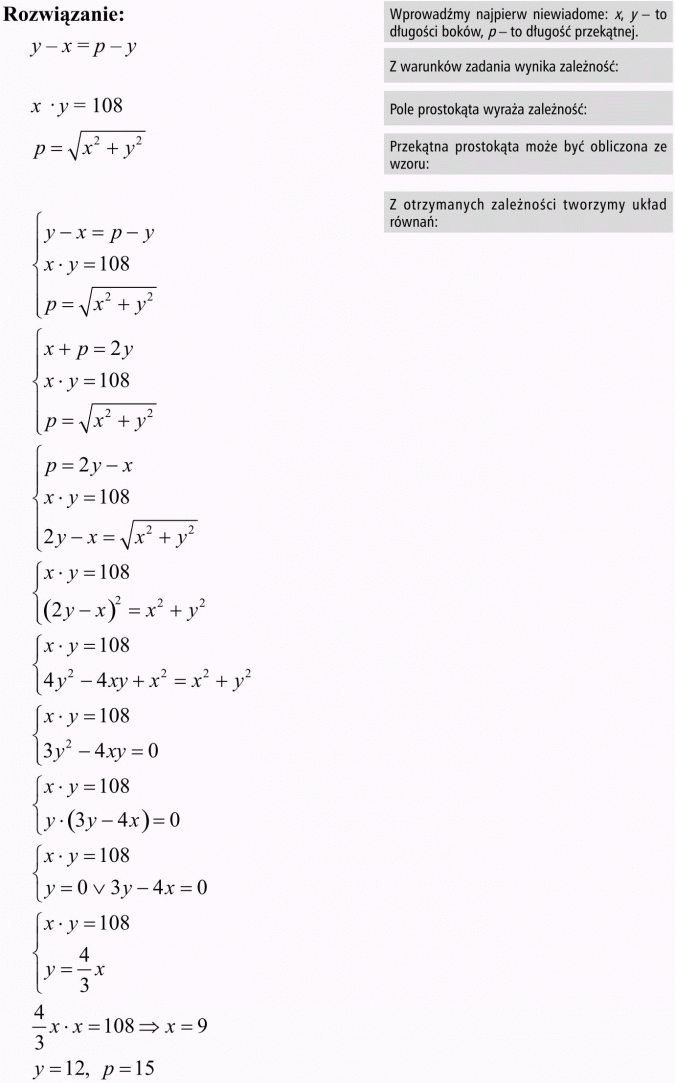
Długości boków prostokąta i długość jego przekątnej tworzą ciąg arytmetyczny. Oblicz obwód tego prostokąta, jeśli jego pole jest równe 108 cm2.
Odpowiedź
Obwód prostokąta jest równy 42 cm.
Trzy liczby x, y, z, których suma wynosi 24, tworzą ciąg arytmetyczny. Liczby x + 1, y - 2, z - 2 tworzą ciąg geometryczny. Znajdź liczby x, y, z.
Odpowiedź
Zadanie ma dwa rozwiązania:
Pogłębiaj wiedzę w temacie: Zadania tekstowe dotyczące ciągu arytmetycznego i geometrycznego
Teksty dostarczyło Wydawnictwo GREG. © Copyright by Wydawnictwo GREG
Autorzy opracowań: B. Wojnar, B. Włodarczyk, A Sabak, D. Stopka, A Szostak, D. Pietrzyk, A. Popławska, E. Seweryn, M. Zagnińska, J. Paciorek, E. Lis, M. D. Wyrwińska, A Jaszczuk, A Barszcz, A. Żmuda, K. Stypinska, A Radek, J. Fuerst, C. Hadam, I. Kubowia-Bień, M. Dubiel, J. Pabian, M. Lewcun, B. Matoga, A. Nawrot, S. Jaszczuk, A Krzyżek, J. Zastawny, K. Surówka, E. Nowak, P. Czerwiński, G. Matachowska, B. Więsek, Z. Daszczyńska, R. Całka
Zgodnie z regulaminem serwisu www.opracowania.pl, rozpowszechnianie niniejszego materiału w wersji oryginalnej albo w postaci opracowania, utrwalanie lub kopiowanie materiału w celu rozpowszechnienia w szczególności zamieszczanie na innym serwerze, przekazywanie drogą elektroniczną i wykorzystywanie materiału w inny sposób niż dla celów własnej edukacji bez zgody autora jest niedozwolone.




