zaprasza Cię do wspólnej nauki fiszek
Teksty dostarczyło Wydawnictwo GREG. © Copyright by Wydawnictwo GREG
Autorzy opracowań: B. Wojnar, B. Włodarczyk, A Sabak, D. Stopka, A Szostak, D. Pietrzyk, A. Popławska, E. Seweryn, M. Zagnińska, J. Paciorek, E. Lis, M. D. Wyrwińska, A Jaszczuk, A Barszcz, A. Żmuda, K. Stypinska, A Radek, J. Fuerst, C. Hadam, I. Kubowia-Bień, M. Dubiel, J. Pabian, M. Lewcun, B. Matoga, A. Nawrot, S. Jaszczuk, A Krzyżek, J. Zastawny, K. Surówka, E. Nowak, P. Czerwiński, G. Matachowska, B. Więsek, Z. Daszczyńska, R. Całka
Zgodnie z regulaminem serwisu www.opracowania.pl, rozpowszechnianie niniejszego materiału w wersji oryginalnej albo w postaci opracowania, utrwalanie lub kopiowanie materiału w celu rozpowszechnienia w szczególności zamieszczanie na innym serwerze, przekazywanie drogą elektroniczną i wykorzystywanie materiału w inny sposób niż dla celów własnej edukacji bez zgody autora jest niedozwolone.
Ułamki zwykłe są zapisem wielkości będących częścią jedności (całości).
Przykład 1
Czekolada składała się z 28 kostek. Ewa zjadła 5, Adaś 3, a Basia 8 kostek. Jaką część czekolady zjadło każde z dzieci? Jaka część pozostała?
Rozwiązanie
Rysunek ułatwi rozwiązanie
Czekolada składała się z 28 kostek, więc mianownik ułamka wynosi 28. Ilość kostek, którą zjadło każde z dzieci to licznik.
Rozwiązanie
Aby zaznaczyć ułamki o mianowniku 6, musisz podzielić odcinek od 0 do 1 na 6 równych części. Zatem odcinek jednostkowy musi mieć długość łatwo podzielną przez 6 (6 cm, 12 cm, 6 kratek itp.)
Jaką częścią kilograma jest 1 gram, a jaką 18 gramów?
Rozwiązanie
1 kg = 1000 g
1 kilogram został podzielony na 1000 jednakowych części (gramów), czyli mianownik ułamka wynosi 1000
1 gram to jedna część z tego tysiąca, czyli licznik wynosi 1
Podobnie 18 g to 18 części z 1000 g
Określenie „całość”, którą dzielisz „na równe części” nie zawsze musi oznaczać tabliczkę czekolady, kwadrat czy koło. Za całość można uważać zbiór elementów (niekoniecznie jednakowych), których ilość będzie stanowiła mianownik, a cecha, która łączy kilka z nich - licznik ułamka.
Przykład 2
W klasie IV a jest 8 dziewczynek i 17 chłopców. Jaką część klasy stanowią dziewczynki?
Rozwiązanie
Liczba uczniów w klasie IV a (chłopców i dziewczynek) będzie mianownikiem ułamka:
8 + 17 = 25
Liczba dziewczynek (8) to licznik ułamka.
Odp.:
Czy różnie wyglądające ułamki mogą przedstawiać taką samą część? Odpowiedź brzmi: TAK!
Przykład 3
Rozszerzyć ułamek znaczy pomnożyć licznik i mianownik przez tę samą liczbę (oczywiście różną od zera). TAKI UŁAMEK NIE ZMIENIA SWOJEJ WARTOŚCI.
Możesz postąpić odwrotnie czyli skrócić ułamek.
Przykład 4
Skrócić ułamek znaczy podzielić licznik i mianownik przez tę samą liczbę (różna od zera). UŁAMEK NIE ZMIENI SWOJEJ WARTOŚCI.
Możliwość skrócenia ułamka zależy od tego, czy licznik i mianownik mają wspólny dzielnik.
Jeżeli licznik i mianownik nie mają wspólnego dzielnika, to jest to ułamek nieskracalny.
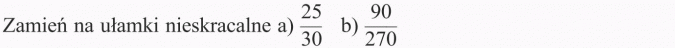
Przykład 5
Poza liczbą 1 nie ma wspólnego dzielnika
brak wspólnego dzielnika → ułamek nieskracalny
Rozwiązanie
UWAGA: Skracanie można przeprowadzić stopniowo lub jednorazowo, znając największy wspólny dzielnik.
Rozwiązanie
Pogłębiaj wiedzę w temacie: Ułamek jako część całości (na poziomie ucznia klasy 4)
Teksty dostarczyło Wydawnictwo GREG. © Copyright by Wydawnictwo GREG
Autorzy opracowań: B. Wojnar, B. Włodarczyk, A Sabak, D. Stopka, A Szostak, D. Pietrzyk, A. Popławska, E. Seweryn, M. Zagnińska, J. Paciorek, E. Lis, M. D. Wyrwińska, A Jaszczuk, A Barszcz, A. Żmuda, K. Stypinska, A Radek, J. Fuerst, C. Hadam, I. Kubowia-Bień, M. Dubiel, J. Pabian, M. Lewcun, B. Matoga, A. Nawrot, S. Jaszczuk, A Krzyżek, J. Zastawny, K. Surówka, E. Nowak, P. Czerwiński, G. Matachowska, B. Więsek, Z. Daszczyńska, R. Całka
Zgodnie z regulaminem serwisu www.opracowania.pl, rozpowszechnianie niniejszego materiału w wersji oryginalnej albo w postaci opracowania, utrwalanie lub kopiowanie materiału w celu rozpowszechnienia w szczególności zamieszczanie na innym serwerze, przekazywanie drogą elektroniczną i wykorzystywanie materiału w inny sposób niż dla celów własnej edukacji bez zgody autora jest niedozwolone.




















