zaprasza Cię do wspólnej nauki fiszek
Teksty dostarczyło Wydawnictwo GREG. © Copyright by Wydawnictwo GREG
Autorzy opracowań: B. Wojnar, B. Włodarczyk, A Sabak, D. Stopka, A Szostak, D. Pietrzyk, A. Popławska, E. Seweryn, M. Zagnińska, J. Paciorek, E. Lis, M. D. Wyrwińska, A Jaszczuk, A Barszcz, A. Żmuda, K. Stypinska, A Radek, J. Fuerst, C. Hadam, I. Kubowia-Bień, M. Dubiel, J. Pabian, M. Lewcun, B. Matoga, A. Nawrot, S. Jaszczuk, A Krzyżek, J. Zastawny, K. Surówka, E. Nowak, P. Czerwiński, G. Matachowska, B. Więsek, Z. Daszczyńska, R. Całka
Zgodnie z regulaminem serwisu www.opracowania.pl, rozpowszechnianie niniejszego materiału w wersji oryginalnej albo w postaci opracowania, utrwalanie lub kopiowanie materiału w celu rozpowszechnienia w szczególności zamieszczanie na innym serwerze, przekazywanie drogą elektroniczną i wykorzystywanie materiału w inny sposób niż dla celów własnej edukacji bez zgody autora jest niedozwolone.
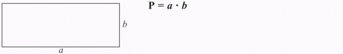
PROSTOKĄT
KWADRAT
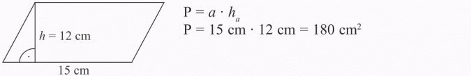
RÓWNOLEGŁOBOK
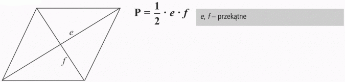
ROMB
ROMB
TRÓJKĄT
TRAPEZ
Jednostki pola:
Jeden z boków prostokąta ma 5 cm, a drugi jest 3 razy dłuższy. Oblicz pole prostokąta.
Oblicz pole kwadratu, którego obwód wynosi 6 dm.
Oblicz obwód kwadratu, którego pole jest równe 25 cm2.
P = a · a
a · a = 25 cm2
a = 5
Obwód = 4 · 5 cm = 20 cm
Jeden bok prostokąta ma 7 cm, a drugi jest o 3 cm dłuższy. Oblicz pole prostokąta.
Oblicz pole kwadratu o boku 3 cm.
Łazienka ma kształt prostokąta o wymiarach 4,5 m x 2,5 m. Ile płytek terakoty w kształcie kwadratu o boku 10 cm potrzeba na wyłożenie podłogi w tej łazience?
Odpowiedź:
Aby ułożyć podłogę w łazience, należy kupić 1125 płytek.
Oblicz pole równoległoboku, którego bok ma długość 15 cm, a wysokość opuszczona na ten bok wynosi 12 cm.
Odpowiedź:
Długości boków równoległoboku są równe: 16 cm i 8 cm. Wysokość opuszczona na krótszy bok ma 10 cm. Jaką długość ma wysokość opuszczona na dłuższy bok?
Odpowiedź:
Wysokość opuszczona na dłuższy bok ma 5 cm.
Jedna przekątna rombu ma długość 12 cm, a druga jest 3 razy dłuższa. Oblicz pole rombu.
Odpowiedź:
Pole rombu wynosi 216 cm2.
Pole rombu jest równe 84 cm2. Jedna z jego przekątnych ma długość 12 cm. Jaką długość ma druga przekątna?
Odpowiedź:
Druga przekątna ma 14 cm.
Pole rombu wynosi 48 cm2, wysokość rombu 8 cm. Oblicz bok rombu.
Odpowiedź:
Pole rombu ma 6 cm.
Podstawa trójkąta wynosi 10 cm, a wysokość opuszczona na ten bok 6 cm. Oblicz pole trójkąta.
Pole trójkąta wynosi 15 cm2, jeden z jego boków jest równy 5 cm. Oblicz wysokość opuszczoną na ten bok.
Pole trójkąta wynosi 24 cm2, a jedna z jego wysokości jest równa 8 cm. Oblicz długość boku, któremu odpowiada ta wysokość.
Odpowiedź:
Szukany bok ma 6 cm.
Pole trójkąta prostokątnego jest równe 5 cm2. Jedna przyprostokątna ma długość 2 cm. Znajdź długość drugiej przyprostokątnej.
Odpowiedź:
Druga przyprostokątna ma 5 cm.
Wysokość trójkąta jest 3 razy dłuższa od boku, na który jest opuszczona i wynosi 12 cm. Jakie pole ma ten trójkąt?
Odpowiedź:
Ten trójkąt ma pole równe 24 cm2.
W trapezie jedna z podstaw ma długość 26 cm, druga podstawa jest dwa razy od niej krótsza. Wysokość trapezu jest równa 12 cm. Oblicz pole tego trapezu.
Odpowiedź:
Pole trapezu wynosi 234 cm2.
Oblicz pole trapezu, w którym wysokość ma długość 4 cm, jedna z podstaw ma długość 10 cm, a druga jest o 5 cm od niej dłuższa.
Odpowiedź:
Pole trapezu wynosi 50 cm2.
Suma długości podstaw trapezu wynosi 7 cm, a wysokość ma 4 cm. Jakie jest pole tego trapezu?
Odpowiedź:
Pole trapezu wynosi 14 cm2.
Obwód trapezu równoramiennego wynosi 28 cm, każde ramię ma długość 5 cm, a wysokość ma długość 4 cm. Oblicz pole tego trapezu.
Odpowiedź:
Pole trapezu wynosi 36 cm2.
Pogłębiaj wiedzę w temacie: Pola figur
Teksty dostarczyło Wydawnictwo GREG. © Copyright by Wydawnictwo GREG
Autorzy opracowań: B. Wojnar, B. Włodarczyk, A Sabak, D. Stopka, A Szostak, D. Pietrzyk, A. Popławska, E. Seweryn, M. Zagnińska, J. Paciorek, E. Lis, M. D. Wyrwińska, A Jaszczuk, A Barszcz, A. Żmuda, K. Stypinska, A Radek, J. Fuerst, C. Hadam, I. Kubowia-Bień, M. Dubiel, J. Pabian, M. Lewcun, B. Matoga, A. Nawrot, S. Jaszczuk, A Krzyżek, J. Zastawny, K. Surówka, E. Nowak, P. Czerwiński, G. Matachowska, B. Więsek, Z. Daszczyńska, R. Całka
Zgodnie z regulaminem serwisu www.opracowania.pl, rozpowszechnianie niniejszego materiału w wersji oryginalnej albo w postaci opracowania, utrwalanie lub kopiowanie materiału w celu rozpowszechnienia w szczególności zamieszczanie na innym serwerze, przekazywanie drogą elektroniczną i wykorzystywanie materiału w inny sposób niż dla celów własnej edukacji bez zgody autora jest niedozwolone.




























